flag Судова влада України

Отримуйте інформацію лише з офіційних джерел

Єдиний Контакт-центр судової влади України 044 207-35-46

Увага, суд перейменовано з Первомайський міськрайонний суд Харківської області

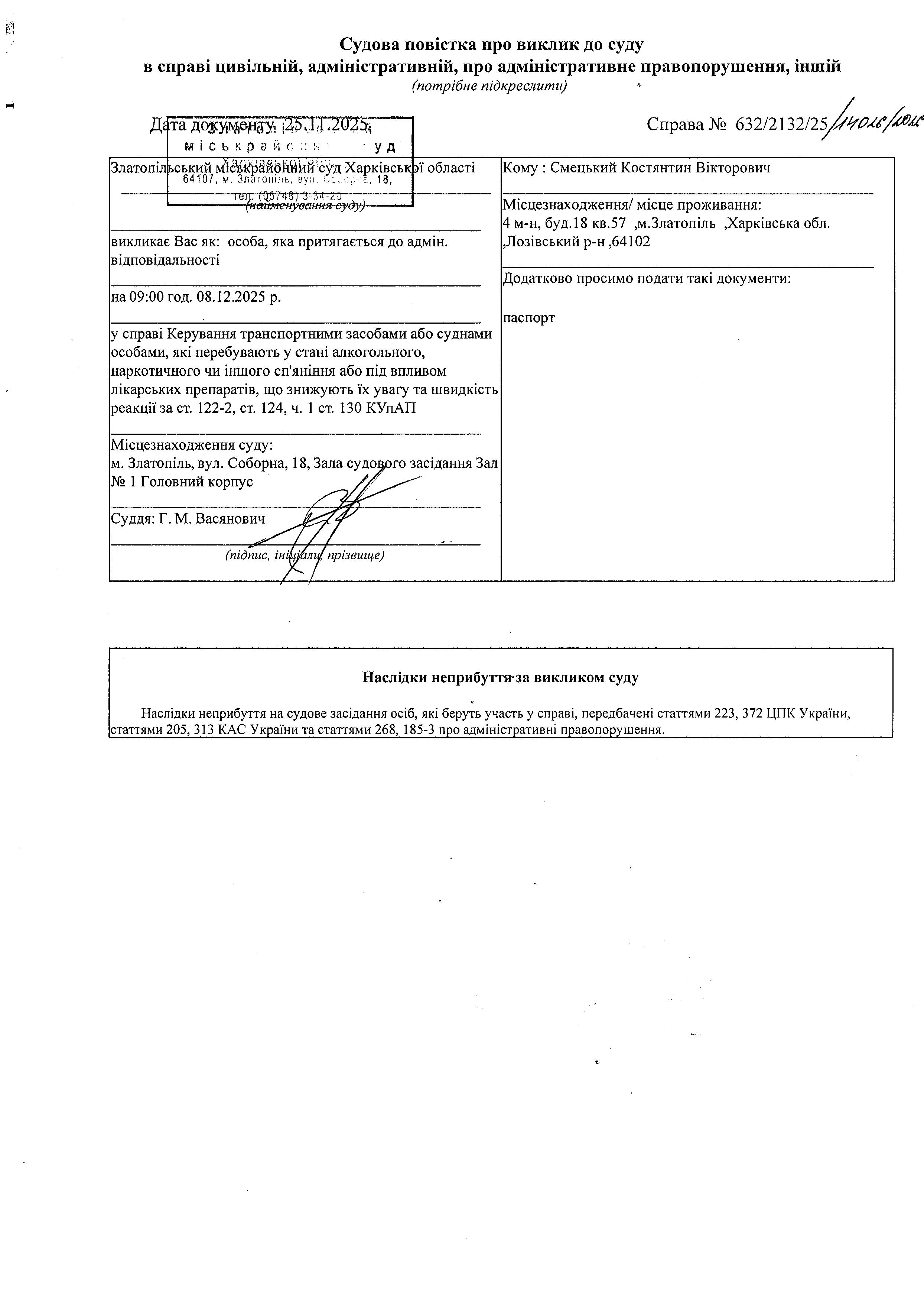
Вмклик Смецьки К.В..

26 листопада 2025, 10:54